Avena Sativa
Avena Sativa
Avena Sativa - Havre
Almindelig havre – med det botaniske navn Avena sativa – er den mest dyrkede havreart og står i dag for over 75 % af den havre, der dyrkes globalt. Planten er en etårig græsart hørende til slægten Avena, der bliver mellem 50 og 120 cm høj og hører til græsfamilien Poaceae (tidligere kaldet Gramineae). Havre menes at være opstået som kornart i Europa og har været dyrket siden bronzealderen – de ældste arkæologiske fund er omkring 3000 år gamle og stammer blandt andet fra Schweiz. Oprindeligt begyndte havre sandsynligvis som ukrudt i oldtidens hvedemarker, før den blev til en selvstændig afgrøde.
Sammenlignet med andre kornsorter som hvede, byg og rug har havre generelt behov for mindre varme somre og mere vand, hvilket gør den særligt velegnet til dyrkning i blandt andet Nordvesteuropa. I dag dyrkes havre især i Rusland, Canada og Europa.
Når man taler om havre i kosmetik-, fødevare- og sundhedssammenhæng, er det primært kornet – også kaldet havrekernen – der er i fokus. Havrekernen er selve kornet uden den for mennesker uspiselige ydre skal, som primært anvendes til dyrefoder. Kernen består af tre hoveddele:
- Kliden på ydersiden, som udgør cirka 30 % af kernens tørvægt og især indeholder proteiner, B-vitaminer, mineraler og en stor del af kornets fibre - herunder en vis del af kernens indhold af beta-glucaner.
- Frøhviden, som udgør størstedelen af kernen på 55-70 %, indeholder især stivelse og proteiner. Lige under klid-skallen og som ydre skal på frøhviden ligger det såkaldte aleuron-lag – dette lag indeholder størstedelen af havrekernens beta-glucaner.
- Kimen udgør ca. 3 % af havrekernen og indeholder især lipider (fedtstoffer), proteiner samt E- og B-vitaminer.
Ud over anvendelsen til fødevarer, kosttilskud og kosmetik bruges hele havren også til dyrefoder. Havrestrå anvendes også som strøelse i stalde, hvor en særlig fordel ved havrestrået i forhold til fx hvedestrå er, at det absorberer fugt bedre.
Havre har gennem århundreder haft en plads i traditionel medicin. Allerede i romertiden blev havre omtalt som lindrende og beskyttende ved tør, kløende og betændt hud. Anvendelsen til hudpleje har altså dybe historiske rødder. I dag peger undersøgelser på, at regelmæssigt indtag af havre kan sænke niveauet af LDL- og total-kolesterol i blodet samt reducere risikoen for kardiovaskulær sygdom. Denne effekt tilskrives især indholdet af beta-glucan.
PUCA PURE & CARE anvender i nogle af sine produkter Avena Sativa Kernel Extract med højt indhold af havrens peptider og beta-glucaner.
Havrens indholdsstoffer og egenskaber
Havrekernen har en kompleks sammensætning af kulhydrater, lipider, proteiner og en række bioaktive plantestoffer, hvilket giver de mange interessante egenskaber, som er beskrevet i litteraturen. I det følgende vil de største og sundhedsmæssigt meste interessante grupper af havrens plantestoffer blive gennemgået, startende med den gruppe som udgør størstedelen af kornet.
Kulhydrater
Kulhydrater udgør omkring 66-70 % af havrekernen, heraf er cirka 85 % stivelse, cirka 11 % kostfibre og cirka 3-4 % sukker i form af monosakkarider som glukose, mannose og fruktose. Stivelsen består næsten udelukkende af amylose og amylopektin. Omtrent 60 % af de 11 % fibre er uopløselige fibre, især arabinoxylaner, mens de resterede 40 % af fibrene er opløselige – primært de særlige beta-glucaner.
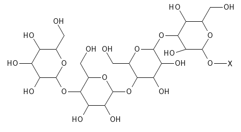
Beta-glucaner er opløselige og fermenterbare kostfibre, som udgør omkring 4–5 % af kornets tørvægt. Disse stoffer kaldes også havreslimstoffer og har en høj vand-bindingsevne, hvorved det i vand vil danne en viskøs gel eller væske afhængig af især molekylvægten og koncentrationen. Den kemiske opbygning af beta-glucaner er illustreret i figur 1 og kan beskrives som følger: Det er glukose-polysakkarider opbygget af glukoseenheder forbundet via beta-1,3- og beta-1,4-bindinger i en lineær kæde uden forgreninger. Cirka 30 % af bindingerne er beta-1,3 og cirka 70 % beta-1,4. Molekylvægten af beta-glucaner i havre varierer betragteligt, men det er generelt store molekyler på omkring 200-2000 kDa1. Strukturen giver molekylet en relativt høj grad af fleksibilitet, hvilket menes at være vigtigt for både dets vandopløselighed og dets egenskaber i huden.

Figur 1 Et lille repræsentativt fragment af den ene ende af den kemiske struktur af havrens beta-glucaner, som er lineære glukose-polysakkarider, som normalt indeholder over 1000 glukose-enheder. Her vises de første fire glukose-enheder bundet sammen via to beta-1,4-glucosid-bindinger og sidste binding til glukose-enheden til højre er en beta-1,3-glucosid-binding. X er udtryk for at kæden af glukose-enheder fortætter. Stereokemien (den tredimensionelle opbygning) er ikke specificeret i denne figur.
Beta-glucaner findes naturligt i cellevægge hos blandt andet svampe, gær, bakterier, visse alger og korn som havre og byg, men der er tydelige forskelle mellem beta-glucaner fra forskellige kilder med hensyn til molekylvægt, opløselighed, forgreningsstruktur og geleringsegenskaber – dvs. hvorvidt de i vand danner viskøse geler. Havre-beta-glucan er kendetegnet ved at være opløselig i vand og deri kunne danne en viskøs gel.
Netop dannelsen af en viskøs gel og molekylvægten har vist sig at være afgørende for havrens beta-glucaners fysiologiske effekt. Dagligt indtag af minimum 3 g havre-beta-glucan kan reducere blodets niveau af LDL-kolesterol og dermed mindske risikoen for kardiovaskulær sygdom. Den kolesterolsænkende effekt menes at skyldes, at disse beta-glucaner danner en viskøs masse i tyndtarmen, som begrænser absorptionen af kolesterol fra kosten samt reabsorptionen af galdesyrer. Udskillelse og kroppens egen produktion af galdesyrer ud fra kolesterol i leveren udgør den vigtigste vej for fjernelse af kolesterol fra kroppen. Den øgede fækale udskillelse af galdesyrer reducerer mængden af galdesyrer i leveren, hvorved det hastighedsbegrænsende enzym kolesterol-7-α-hydroxylase aktiveres. Derved øges omdannelsen af kolesterol til galdesyrer og i sidste ende sænkes niveauet af cirkulerende LDL-kolesterol. Studier har vist, at effekten reduceres markant, hvis molekylvægten af beta-glucan reduceres. Kliniske forsøg med mennesker viste en 50 % reduktion i den kolesterolsænkende effekt af beta-glucan, når molekylvægten faldt fra 2.210 kDa til 210 kDa. Det understreger, at både dosis, molekylvægt og opløselighed – som igen afhænger af kilden og forarbejdningen – er afgørende faktorer. Ud over effekten på kolesterol har oral indtagelse af havre vist gavnlige effekter på blodsukkerregulering, blodtryk og reduktion af risikoen for coloncancer. Beta-glucaner er desuden præbiotika2, da de delvist nedbrydes af gavnlige mikroorganismer i tarmen.
Ud over de positive effekter ved oralt indtag af havrens beta-glucaner, har disse molekyler også vist sig at spille en positiv rolle i sårhelingsprocesser – bl.a. grundet vandbindende egenskaber. Og meget interessant i forhold til virkning på og i huden, så har et ex vivo-studie på human hud med en sub-micron-filtreret havre-beta-glucan vist, at selv et så stort og hydrofilt molekyle med en gennemsnitlig størrelse på 1000 kDa via intercellulær passage kunne trænge gennem hudens yderste epidermale lag, stratum corneum, og dermed nå de vitale lag af epidermis, samt at en mindre del af testdosen nåede helt ned til dermis3. Man mener at det er den særlige fleksible struktur af havrens beta-glucaner, som medvirker til dette usædvanlige optag i huden. Normalt ser man, at det primært er relativt små (< 500 Da) og mere hydrofobe molekyler, der kan komme ind i huden.
1kDa = kilo Dalton (1000 Da). Enhed for masse, som svarer til g/mol og bruges til at udtrykke hvor meget et molekyle vejer. Eksempelvis vejer ét vandmolekyle ca 18 Da.
2Præbiotika er stoffer som visse mikroorganismer kan optage og udnytte – man kan sige at et er ”mad” til de ”gavnlige” mikroorganismer, som påvirker sammensætningen og/eller aktiviteten af mikrobiomet til fordel for individet (fx mennesket) som ”huser” disse mikroorganismer. Man kan læse mere om emnet her på denne hjemmeside: Vivian indsætter link til siden om Microbiomet, pre-, pro- og post-biotika – fermentering.
3Man kan læse mere om hudens opbygning i beskrivelsen af Glycerin på denne hjemmeside.
Lipider
Lipider (fedtstoffer) udgør typisk 3–10 % af kornet, hvilket er relativt højt sammenlignet med andre kornarter, der normalt indeholder 2–3 %. Lipiderne i havre består især af triacylglycerider med en relativ høj andel af umættede fedtsyrer. Særligt for havrens lipider i forhold til mange andre plante-lipider, er den relativt store andel (4%) af polære lipider som phospholipider og sphingolipider – og herunder ceramider. Phospholipider og ceramider er meget vigtige for hudens barrierefunktion4. Specielt for havrens ceramider er, at en del af disse ceramider strukturelt minder om de ceramider, der naturligt findes i huden. Derudover indeholder havre steroler (phytosteroler), som er vigtige for cellemembraner og hudbarrieren.
Proteiner, peptider og aminosyrer
Protein, peptider og aminosyrer udgør 11–17 % af havre-kornet, hvilket er relativt højt i forhold til andre kornarter. Havre har et særligt højt indhold af blandt andet lysin sammenlignet med andre korn samt et højt niveau af glutaminsyre5. De primære lagerproteiner er globuliner – i modsætning til andre kornarter, hvor prolaminer typisk dominerer. Prolaminer findes dog også i havre i form af aveniner, som udgør 10–13 % af det samlede proteinindhold. Havre indeholder generelt ikke gluten-protein, som er en type prolamin. Derudover indeholder havre en række enzymer, som ofte inaktiveres kort efter høst for at forhindre harskning.
Sekundære metabolitter – fenoler og saponiner
Sekundære metabolitter er relativt små molekyler, som fx planter producerer i forholdsvis små mængder. Disse molekyler har mange forskellige funktioner i organismen, men er i modsætning til organismens primære metabolitter ikke direkte involveret i den vækst, udvikling eller reproduktion. De er derimod fx vigtige i organismens forsvar mod fjender og anden interaktion med miljøet. Deres bioaktivitet er årsagen til at de i mange tilfælde ligger til grund for udvikling af fx medicin, narkotika, pesticider, dufte og smage.
Fenoler6 er en stor gruppe af sekundære metabolitter. Særligt karakteristiske for havre er avenanthramider – en gruppe fenoliske alkaloider, som primært findes i Avena sativa og kun få andre plantearter. Der er identificeret over 20 forskellige avenanthramider i havre, og de udgør cirka 0,03 % af havrekernen. I planten fungerer de som forsvarsstoffer mod svampeangreb. Kemisk består de af en af tre phenylpropanoider (p-kumarinsyre, ferulinsyre eller koffeinsyre) bundet sammen med en anthranilsyre eller en hydroxyleret og/eller methoxyleret derivat heraf. Figur 2 viser et eksempel på en af havrens primære avenanthramider. Avenanthramider er nogle af de primære antioxidanter7 i havre og virker blandt andet ved at donere et hydrogenatom til frie radikaler. Disse stoffer er blevet grundigt studeret og har vist antiinflammatoriske, antioxidative og kløestillende egenskaber.

Figur 2 Den kemiske struktur af Avenanthramide A (2p), som består af p-coumaric acid (venstre del af strukturen frem til nitrogen-atomet) bundet sammen med 5-hydroxyanthranilic acid via en amid-binding.
Havre indeholder også saponiner – blandt andet avenaciner og avenacosider, som i planten fungerer som beskyttelse mod angreb. Saponiner er bittert smagende sekundære metabolitter med både en lipofil og en hydrofil del, hvilket gør, at de har egenskaber lig emulgatorer og surfaktanter og dermed kan have en mild rensende virkning.
Vitaminer og mineraler
Derudover indeholder havre vitaminer som B1 (thiamin), B3 (niacin), B5 (pantothensyre), vitamin E (især alfa-tocopherol) og vitamin K – særligt koncentreret i kliddelen. Havre indeholder også mineraler som jern, calcium, kalium, magnesium, fosfor, zink, kobber og silicium.
Havre-ingredienser til kosmetik
Der kan fremstilles mange forskellige ingredienser af havre og dens forskellige plantedele, og i kosmetik er det især havrekernen, der anvendes som råmateriale. Produkterne spænder fra relativt komplekse ingredienser, hvor store dele af kornets naturlige indhold bevares, til mere raffinerede ingredienser, hvor specifikke stofgrupper er isoleret og andre er sorteret fra. De fleste havrebaserede kosmetiske ingredienser er dog kemisk set komplekse og indeholder mange forskellige molekyler.
Begrebet ”colloidal oatmeal” – kolloid havre – dukker ofte op i litteraturen fra både det kosmetiske og dermatologiske felt. Det dækker over meget fint formalet havremel fremstillet af hele den spiselige havrekerne – altså den afskallede havre. En kort beskrivelse af fremstillingsprocessen er, at det er et pulver opnået ved formaling og forarbejdning af hele havrekornet.
Fremstillingen kan ske via en tør proces, hvor kornet formales meget fint. Her kan det naturlige indhold af lipider gøre det teknisk vanskeligt at opnå tilstrækkeligt små partikler. Alternativt kan der anvendes en våd proces, som kan involvere en forudgående opløsningsproces og eventuelt kogning i vand, hvorefter materialet videreforarbejdes til et meget fint formalet produkt.
Kolloid havre har således ikke en meget specifik kemiske sammensætning, men FDA har fastsat nogle fysiske standarder for kolloid havre i en OTC-monografi for hudbeskyttende produkter8 som følger: højst 3 % af partiklerne må overstige 150 µm, og højst 20 % må overstige 75 µm i diameter. Overordnet er den kemiske sammensætning af kolloid havre lig sammensætningen i hele havrekornet og består dermed primært af stivelse og ca. 15 % protein, ca. 5 % lipider, ca. 5 % beta-glucaner. Det kan også indeholde sekundære metabolitter som flavonoider, avenanthramider og saponiner. Producenter af kolloid havre har relativ stor frihed til at opbygge deres egen fremstillingsproces og dermed kan der være stor variation i både den kemiske sammensætning og egenskaberne af forskellige kolloid havre-produkter.
Kolloid havre har en lang historisk anvendelse og er kendt for sine kløestillende, antiinflammatoriske, antioxidative og barriereopbyggende egenskaber. Det er desuden et af de få naturlige produkter, der er anerkendt af FDA i USA som et sikkert håndkøbsprodukt til beskyttelse af huden.
Ud over kolloid havre fremstilles der også forskellige ekstrakter og andre ingredienser med mere eller mindre specifikke fraktioner af havre. Ekstrakter af havrespirer er eksempelvis undersøgt in vitro i forhold til hudbarrierefunktion og allergisk kontaktallergi. I disse studier har man blandt andet set øget gen-udtryk af proteiner associeret med hudbarrieredannelse, såsom filaggrin9, samt immunmodulerende effekter. Særligt to saponiner (avenacoside B og 26-deglucoavenacoside B) samt flavonoidet isovitexin-2-O-arabinosid blev i et studie fremhævet som mulige bidragydere til de observerede antiinflammatoriske effekter, herunder reduktion af IL-6, TNF-α og IFN-γ10.
Der er også udviklet ingredienser baseret på isolerede havreproteiner, herunder hydrolyserede proteiner, hvor proteinerne er nedbrudt til mindre peptider og aminosyrer. Derudover findes der forskellige produkter baseret på fx havrens lipider og havre-produkter, hvor fx beta-glucanerne eller de fenoliske stoffer er blevet opkoncentreret og eventuelt helt isoleret.
Samlet set spænder havrebaserede kosmetiske ingredienser derfor fra hele, minimalt forarbejdede kornprodukter til specialiserede fraktioner med fokus på bestemte molekylgrupper, der i studier har vist bestemte biologiske effekter.
4Man kan læse mere om vigtigheden af forskellige lipider for huden i beskrivelsen af Lipider på denne hjemmeside.
5Man kan læse mere om de forskellige aminosyrer og om peptider i beskrivelserne denne hjemmeside.
6Fenoler er en meget stor gruppe af stoffer, som alle indeholder en eller flere hydroxyl-grupper (-OH) bundet direkte på en såkaldt aromatisk ring, der er en ringformet struktur med særlige delokaliserede elektroner. Et eksempel på en aromatisk ring er en 6-ledet benzen-ring. Fenoler kan bestå af en eller flere hydroxylerede aromatiske ringe.
7Man kan læse mere om antioxidanter i beskrivelsen på denne hjemmeside.
8FDA står for Food and Drug Administration og er USA's føderale fødevare og lægemiddelmyndighed. OTC står for Over The Counter - håndkøbsmedicin i USA. FDA udsteder monografier for OTC-medicin, som sætter regulatoriske standarder for fx sammensætningen og i nogle tilfælde hvad der skal stå på produktet.
9Filaggrin er et vigtigt protein i epidermis (det yderste lag af huden), der er afgørende for hudens barrierefunktion, pH og evne til at holde på fugt. Man kan læse mere om filaggrin på denne hjemmeside.
10TNF står for Tumor Necrosis Factor og TNF-α er et proinflammatorisk cytokin, der spiller en central rolle i immunforsvaret. IFN står for Inteferon og IFN-γ er et cytokin, der er involveret i reguleringen af immunforsvaret mod virus, bakterier og tumorer.
Generelle hudegenskaber og virkningsmekanismer
Havre har gennem århundreder været anvendt til pleje af tør, irriteret og kløende hud – særligt i form af kolloid havre. I dag viser både in vitro- og kliniske studier, at havre-ingredienser kan have både anti-inflammatoriske, kløestillende, pH-regulerende, antioxidative og hudbarriere-opbyggende egenskaber og have en positiv effekt på hudens mikrobiom11.
De anti-inflammatoriske effekter af havre tilskrives i særlig grad avenanthramiderne, da disse i in vitro forsøg har vist sig at kunne påvirke centrale inflammatoriske signalveje. Avenanthramider har vist sig at kunne hæmme IL-1β-induceret aktivering af NF-κB, der regulerer udtrykket af en lang række pro-inflammatoriske gener. Ved at dæmpe NF-κB-aktiveringen reduceres produktionen af cytokiner som IL-6, IL-8 og MCP-112, hvilket samlet bidrager til en nedregulering af den inflammatoriske respons i huden. Sandsynligvis er avenanthramiderne ikke de eneste stoffer med anti-inflammatorisk virkning i havre. Et in vitro studie har fx vist at også den lipofile fraktion og hydrofile fraktion (som primært indeholder proteiner og kulhydrater) kunne reducere IL-8 produktionen i humane keratinocytter.
Havrens antioxidative aktivitet er ligeledes primært knyttet til avenanthramider samt andre fenoliske forbindelser. I cellemodeller er det blevet vist, at en fraktion af havre rig på phenoler i særlig grad kunne reducere den UV-inducerede produktionen af reaktive iltforbindelser (ROS13), hvilket indikerer en beskyttende effekt mod oxidativ stress. Da oxidativ stress ofte er tæt forbundet med inflammatoriske processer, understøtter den antioxidative virkning formodentlig den samlede anti-inflammatoriske effekt.
Den kløestillende effekt menes ligeledes at være koblet til avenanthramider. Ud over hæmning af inflammatoriske cytokiner har in vitro studier vist, at avenanthramider kunne hæmme neurogen inflammation – en inflammatorisk respons medieret via nervesystemet, som kan føre til vasodilatation, frigivelse af histamin og dermed rødme og kløe. I dyremodeller har topikal behandling med lave koncentrationer avenanthramider vist sig markant at reducere både inflammation og kløe. Inflammation og kløe er ofte forbundet og i forhold til den kløestillende virkning er avenanthramiderne nok ikke de eneste aktive stoffer i havre.
Havrekomponenter har i in vitro-studier vist evne til at inducere gener relateret til epidermal differentiering, tight junctions og lipidregulering – alle centrale elementer i hudens barriereopbygning. Særligt fenoliske og proteinrige fraktioner har viste sig i et forsøgt at været forbundet med disse geninduktioner.
Beta-glucan bidrager med markante vandbindende egenskaber, som øger hudens hydrering og understøtter barrierefunktionen. Derudover har in vitro-studie vist, at beta-glucan kunne interagere med makrofager og fibroblaster og dermed stimulere produktionen af pro-collagen – både indirekte via IL-1-signalering og direkte via fibroblast-receptorer.
Kolloid havre har desuden vist sig at kunne øge huden pH-bufferkapacitet14 – denne egenskaber er særligt knyttet til vandopløselige proteiner og kulhydrater fra havre. Regulering af hudens pH er væsentlig for opretholdelse af barrierefunktion, enzymaktivitet i stratum corneum og er også vigtig i forhold til hudens mikrobiom.
I forhold til mikrobiomet har et klinisk studie med eksem-ramte personer, vist at kolloid havre kunne påvirke mikrobiomet i en positiv retning. Stoffer som beta-glucan kan virke præbiotisk og dermed fremme væksten af visse gavnlige bakterier. Et studie har vist at kolloid havre kunne øge væksten af Staphylococcus epidermidis signifikant mere end Staphylococcus aureus – overvækst af Staphylococcus aureus er associeret med eksemramt hud.
11Man kan læse mere om hudens mikrobiom samt præ-, pro- og post-biotika i beskrivelsen på denne hjemmeside
12IL-1β står for Interleukin-1beta, som er et proinflammatorisk cytokin. NF-κB står for Nuklear faktor kappa B, som er et proteinkompleks, der spiller en vigtig rolle i reguleringen af gener involveret i immunrespons, inflammation mm. IL-6 og IL-8 står for hhv. interleukin 6 og 8, mens MCP-1 står for Monocyte chemoattractant protein-1, der spiller en vigtig rolle i tiltrækningen af immunceller ved inflammation.
13ROS står for Reactive Oxygen Species.
14Man kan læse mere om vigtigheden af pH på denne hjemmeside
Sikkerhed og allergipotentiale
Havre anses generelt for at være sikkert både at indtage og at anvende topikalt i kosmetik. En række undersøgelser har vist, at ingredienser baseret på kolloid havre har et meget lavt irritations- og sensibiliseringspotentiale. I en serie af studier, herunder patch test, blev 12 produkter indeholdende kolloid havre undersøgt på i alt 2291 personer. Resultaterne viste meget lav irritation og ingen registrerede allergiske reaktioner; kun ganske få udviste mild irritation.
Selv om risikoen vurderes som lav, er der i sjældne tilfælde registreret både type I-allergi (straks-allergi) og type IV-allergi (kontaktallergi) over for havre – omkring ti tilfælde er beskrevet i litteraturen. De fleste registrerede tilfælde har været hos patienter med kontaktallergi eller kompromitteret hudbarriere, eksempelvis ved atopisk eksem, hvor risikoen for sensibilisering potentielt er øget. Det er ikke endeligt fastslået, hvilke komponenter der er ansvarlige for allergi, men havreproteiner menes at være blandt de mulige allergener. I et mindre studie med tre allergiske personer gav et Avena sativa-ekstrakt, hvor proteinerne var fjernet, ikke anledning til allergisk reaktion.
Havre anvendes hyppigt i produkter til børn med atopisk eksem. I et mindre studie med 24 babyer, der i fire uger anvendte et mildt vaskeprodukt med 2 % kolloid havre (minimum tre bade per uge og max et bad per dag), sås signifikant forbedring af tørhed, rødme og irritation uden uønskede bivirkninger relateret til produktet.
Anvendelse ved problematisk og inflammeret hud
Kolloid havre anvendes bredt ved tør, kløende og irriteret hud. Ved atopisk eksem – som er karakteriseret ved tør, kløende hud, kompromitteret barriere, forhøjet pH og ofte et dysbiotisk mikrobiom med øget forekomst af Staphylococcus aureus – er der dokumenteret relevante positive effekter i en del forskellige kliniske studier gennem tiden.
I et randomiseret 14-dages studie med 61 personer med mild til moderat eksem blev halvdelen af personerne behandlet med en 1 % kolloid havre-eksemcreme og den anden halvdel med en standard fugtigende creme. Man observerede ved brug af havre-produktet en reduktion i graden af eksem sammenlignet med standard-creme. Der blev samtidig observeret forbedring af hudens pH, barrierefunktion og hydrering samt en tendens til lavere forekomst af Staphylococcus bakterier og øget mikrobiomdiversitet i de behandlede områder.
Et andet større klinisk studie med 139 patienter med forskellige former for kløende eksem, resulterede i at med behandlingen med jævnlige bade indeholdende kolloid havre i 3 måneder, opnåede over 71 % hel eller næsten hel lindring af kløe. Et studie med brandsårspatienter viste, at en badeolie indeholdende 5 % kolloid havre i paraffinolie gav en signifikant reduktion i kløe i forhold til den del af patienterne som brugte en placebo-badeolie uden kolloid havre.
Inflammeret hud har ofte en højere pH-værdi end normal hud. Topikal anvendelse af visse havre-ingredienser har vist sig at kunne reducere hudens pH via en buffer-effekt og dermed bidrage til genopretning af hudens normale syrekappe. Et studie har tydet på at det især er den vandopløselige faktion af kolloid havre med primære kulhydrater og proteiner som har denne pH-buffer-effekt.
Effekter på aldringstegn og hudens struktur
Kolloid havre og især mere specifikke havreingredienser er også undersøgt i relation til aldringsforandringer i huden, som blandt andet er forbundet med reduceret barrierefunktion, ændret lipid- og ceramid-sammensætning, lavere pH-buffer-kapacitet, reduceret mængde og kvalitet af kollagen, reduceret mængde af hyaluronsyre og elastin og nedsat epidermal differentiering15.
Lipofile stoffer i havre er vist at kunne aktivere gener involveret i epidermal differentiering, lipidsyntese og ceramid-processering. En særlig lipofil havreingrediens rig på polære lipider (herunder ca. 4 % ceramider og 20 % phospholipider) samt steroler og avenanthramider har i et 56 dages klinisk studie ved 1 % i et serum produkt forbedret hudbarrierens kvalitet, øget hydrering samt øget mængden af hyaluronsyre og ceramider i epidermis. I et 84 dages placebo-kontrolleret studie med samme 1 % havre serum-produkt sås markant reduktion af rynker i ansigtet, og i et andet studie med 1,4 % af den lipofile havre-ingrediens sås reduktion af og beskyttelse mod UV-induceret rødme.
En anden lipofil havre-ingrediens med et relativt højt indhold af phytosteroler, ceramider og vitamin E viste i et 28 dages placebo-kontrolleret studie ved 5 % i en håndcreme forbedring af hudskader forårsaget af hyppig håndvask.
Beta-glucan er ligeledes undersøgt i relation til rynker. I et 8 ugers klinisk placebo-kontrolleret studie med 0,1 % sub-mikron filtreret havre beta-glucan i en gel blev der rapporteret signifikant reduktion af fine linjer og rynker i forhold til ved starten af studiet og placebo-produktet. En havreingrediens med højt indhold af beta-glucan anvendt ved 1 % i et serum viste i et 56 dages placebo-kontrolleret studie at kunne forbedre huden overfladestruktur samt reduktion af rynker.
Også proteiner og peptider fra havre er blevet undersøgt i forhold til ældningen af huden. En specifik havre-peptid ingrediens indeholdende ca 90 % peptider (primært lav- og mellem molekylære vægt på 300-3000 Da) vist i ex vivo-forsøg ved 0,1 % at øge niveauet af kollagen I, III og V samt elastin i huden16. I et 84 dages placebo-kontrolleret klinisk studie med 0,1 % af denne peptid-ingrediens i en ansigtscreme sås markant øget hydrering, forbedret densitet, strukturel integritet, fasthed og elasticitet samt signifikant reduktion af rynker.
Anvendelse til hovedbund og hår
Havres anvendelse i hår- og hovedbund-produkter er mindre undersøgt end hudanvendelsen, men flere studier peger på relevante effekter. Der er fx et in vitro studie med en havreingrediens med højt indhold af beta-glucan samt stivelse og aminosyrer, som har vist at denne ingrediens kunne hæmme væksten af gærsvampen Malassezia furfur, som ofte er medvirkende årsag til skæl. Samme ingrediens kan binde vand og dermed øge hårets fugtindhold samt beskytte og styrke håret.
En særlig ekstruderet17 kolloid havre-ingrediens (indeholdende ca. 60 % stivelse, 7 % lipider, 5 % beta-glucan, 0,015% saponiner og 0,008% avenanthramider) har i et 28 dages placebo-kontrolleret studie ved 1 % i et leave-on hovedbundsprodukt reduceret kløe, rødme og irritation i hovedbunden hos personer med sensitiv hovedbund. Ved 1 % i en konditioner, der skulle vaskes af håret, viste denne ingrediens at kunne styrke skadet hår markant bedre end placeboproduktet i testen. I relation til huden viste samme ingrediens fugtgivende egenskaber samt reduktion af rødme og irritation og understøttelse af hudbarrieren. Endelig viste den førnævnte lipofile havre-ingrediens med relativt højt indhold af phytosteroler, ceramider og vitamin E at kunne beskytte hårets ceramider mod den UV-nedbrydning der normalt finder sted, når hår bliver udsat for UV stråler og desuden at kunne øge hårets glas og blødhed.
Havre har en lang tradition i kosmetisk anvendelse og er i dag veldokumenteret som en multifunktionel ingrediens med en kompleks og bioaktiv sammensætning. Indholdet af blandt andet beta-glucaner, avenanthramider, ceramider, phytosteroler, peptider og antioxidanter forklarer de mange beskrevne effekter – fra anti-inflammatorisk og antioxidativ virkning til kløelindring, barriereopbygning og støtte af hudens mikrobiom. Samtidig vurderes havre generelt som en sikker ingrediens med meget lavt irritations- og allergipotentiale, selv ved anvendelse på sensitiv og atopisk hud. Den samlede evidens peger derfor på, at havre – både i hud- og hårpleje – ikke blot fungerer som en traditionel lindrende ingrediens, men som en aktiv komponent med dokumenterede biologiske effekter på hudens struktur, funktion og balance.
15Epidermal differentiering er den komplekse, ordnede proces, hvor stamceller i epidermis nederste lag (stratum basale) modnes, migrerer opad og omdannes til funktionelle hudceller (keratinocytter) i de øvre lag. Denne proces involverer markant ændring i genudtryk, især produktion af keratin, hvilket medvirker til at sikrer hudens barriere-funktion. Man kan læse mere om denne interessante proces på denne hjemmeside
16Man kan læse mere om kollagen på denne hjemmeside
17Ekstrudering er en fremstillingsprocessen, hvor materialet presses igennem en matrice-form for at formgive og materialet en ønsket struktur.
Kilder
- Alemayehu, G. F.; Forsido, S. F.; Tola, Y. B. & Amare, E. Nutritional and Phytochemical Composition and Associated Health Benefits of Oat (Avena sativa) Grains and Oat-Based Fermented Food Products. The Scientific World Journal, 2023, 2730175.
- Allais, B. & Friedman, A. Colloidal Oatmeal Part I: History, Basic Science, Mechanism of Action, and Clinical Efficacy in the Treatment of Atopic Dermatitis. Journal of drugs in dermatology: JDD, 2020, 19(10), 4–7.
- Bruusgaard-Mouritsen, M. A.; Johansen, J. D.; Zachariae, C.; Kirkeby, C. S. & Garvey, L. H. Natural ingredients in cosmetic products-A suggestion for a screening series for skin allergy. Contact dermatitis, 2020, 83(4), 251–270.
- Capone, K.; Kirchner, F.; Klein, S. L. & Tierney, N. K. Effects of Colloidal Oatmeal Topical Atopic Dermatitis Cream on Skin Microbiome and Skin Barrier Properties. Journal of drugs in dermatology: JDD, 2020, 19(5), 524–531.
- Cerio, R.; Dohil, M.; Jeanine, D.; Magina, S.; Mahé, E. & Stratigos, A. J. Mechanism of action and clinical benefits of colloidal oatmeal for dermatologic practice. Journal of drugs in dermatology: JDD, 2010, 9(9), 1116–1120.
- CIR Expert Panel: Becker, L. C. al. Safety Assessment of Avena Sativa (Oat)-Derived Ingredients as Used in Cosmetics. International journal of toxicology, 2019, 38(3 Suppl), 23S–47S.
- CIR Expert Panel: Fiume, M. M. al. Safety Assessment of Microbial Polysaccharide Gums as Used in Cosmetics. International journal of toxicology, 2016, 35(1 Suppl), 5S–49S.
- Criquet, M.; Roure, R.; Dayan, L.; Nollent, V. & Bertin, C. Safety and efficacy of personal care products containing colloidal oatmeal. Clinical, cosmetic and investigational dermatology, 2012, 5, 183–193.
- Fowler J. F., Jr. Colloidal oatmeal formulations and the treatment of atopic dermatitis. Journal of drugs in dermatology: JDD, 2014, 13(10), 1180–1185.
- Gafner, F.; Schweikert, K. & Dell’Acqua, G. Oat-based complex stimulates skin barrier protein synthesis and reduces skin ageing. International Journal of Cosmetic Science, 2009, 31. 403-403.
- Gombert, E. & Dewis, C. Investigation into the delivery and evaluation of a unique Avena sativa (Oat) Lipid Extract on skin barrier using LC‒MS/MS, Raman spectroscopy, immunostaining analysis and skin efficacy.International journal of cosmetic science, 2025, 10.1-18.
- Ilnytska, O.; Kaur, S.; Chon, S.; Reynertson, K.; Nebus, J.; Garay, M.; Mahmood, K. & Southall, M. Colloidal Oatmeal (Avena Sativa) Improves Skin Barrier Through Multi-Therapy Activity. Journal of drugs in dermatology: JDD; 201615. 684-690.
- Kim, H.-S.; Hwang, H.-J.; Seo, W.-D. & Do, S.-H. Oat (Avena sativa) Sprouts Restore Skin Barrier Function by Modulating the Expression of the Epidermal Differentiation Complex in Models of Skin Irritation. International Journal of Molecular Sciences, 2023, 24(24), 17274.
- Kurtz, E. S. & Wallo, W. Colloidal oatmeal: history, chemistry and clinical properties. Journal of drugs in dermatology: JDD, 2007, 6(2), 167–170.
- Mack, M. C.; John, G.; Friscia, D., Perna, C.; Bion, D.; Ailsworth, M.; Peddy, K. & Tierney, N. K. A colloidal oat-containing baby wash is gentle and effective for atopic-prone skin. International journal of cosmetic science, 2026, 48(1), 30–39.
- Nwachukwu, I. D.; Devassy, J. G.; Aluko, R. E. & Jones, P. J. Cholesterol-lowering properties of oat β-glucan and the promotion of cardiovascular health: did Health Canada make the right call?. Applied physiology, nutrition, and metabolism, 2015, 40(6), 535–542.
- Oat Cosmetics: AvenaPLex-Data-Pack-0825-LR: AvenaPlex data pack; revision nr 14, 26th August 2025.
- Oat Cosmetics: EcoPep-Skin-Data-Pack-0325-LR: EcoPep data pack; revision nr 1, 3rd March 2025.
- Oat Cosmetics: Glucaveen-Data-Pack-0624-LR: Glucaveen data pack; revision nr 5, 17th June 2024.
- Oat Cosmetics: Oat-COM-Data-Pack-0824-LR: Oat COM data pack; revision nr 7, 30th August 2024.
- Oat Cosmetics: Oat-Lipid-e-Datapack-0924-LR: Oat Lipid e data pack; revision nr 7, 19th July 2024.
- Oat Cosmetics: Rejuvaveen-DataPack-0925-LR: Rejuvaveen data pack; revision nr 4, 15th September 2025.
- Pillai, R.; Redmond, M. & Röding, J. Anti‐Wrinkle Therapy: Significant New Findings in the Non‐Invasive Cosmetic Treatment of Skin Wrinkles with Beta‐ International Journal of Cosmetic Science, 2005 27. 292 - 292.
- PubChem Sketcher V2.4. Lokaliseret 17. Februar 2026: https://pubchem.ncbi.nlm.nih.gov
- Reynertson, K. A.; Garay, M.; Nebus, J; Chon, S.; Kaur, S.; Mahmood, K.; Kizoulis, M. & Southall, M. D. Anti-inflammatory activities of colloidal oatmeal (Avena sativa) contribute to the effectiveness of oats in treatment of itch associated with dry, irritated skin. Journal of drugs in dermatology: JDD, 2015, 14(1), 43–48.
- Sur, R.; Nigam, A.; Grote, D.; Liebel, F. & Southall, M. D. Avenanthramides, polyphenols from oats, exhibit anti-inflammatory and anti-itch activity. Archives of dermatological research, 2008, 300(10), 569–574.
- Vansina, S.; Debilde, D.; Morren, M. A. & Goossens, A. Sensitizing oat extracts in cosmetic creams: is there an alternative?. Contact dermatitis, 2010, 63(3), 169–171.
- Website af LisaLise Pure Natural Skincare: What Makes Colloidal Oatmeal Colloidal? Skrevet 31. Juli, 2023. Lokaliseret 23. Januar 2026: What Makes Colloidal Oatmeal Colloidal? — LisaLise Pure Natural Skincare.
- Wikipedia websites: Oat, Almindelig havre & Beta-glucan. Lokaliseret 20. Januar 2026: https://en.wikipedia.org/wiki/Oat, https://da.wikipedia.org/wiki/Almindelig_havre & https://en.wikipedia.org/wiki/Beta-glucan.
- Wood PJ, Beer MU, Butler G. Evaluation of role of concentration and molecular weight of oat β-glucan in determining effect of viscosity on plasma glucose and insulin following an oral glucose load. British Journal of Nutrition. 2000;84(1):19-23.